EDUCATION AND ACADEMIC CAREER:
2021/06-Present College of Chemistry, Sichuan University; Professor
2018/10-2021/4 Research Center for Materials Science, Nagoya University, Japan; Special Researcher of JSPS.
2017/09-2018/09 School of Chemical and Biomedical Engineering, Nanyang Technological University, Singapore; Research Fellow
2011/09-2017/06 School of Chemistry and Chemical Engineering, Xiamen University, China; Ph.D.
2007/09-2011/06 School of Chemistry and Chemical Engineering, Chongqing University, China; Bachelor of Engineering.
HONORS AND AWARDS:
2021 The Youth Talent Support Program in Sichuan University
2019 Postdoctoral Fellowship of Japan Society for the Promotion of Science (JSPS)
2017 Outstanding Graduate, Xiamen University
2015 National scholarship, Ministry of Education
2014 Sa Ben-dong Scholarship, Xiamen University
2013 Outstanding Student, Xiamen University.
2012 National scholarship, Ministry of Education
SELECTITED PUBLICATIONS:
1. Xian-Kai Wan, Gabor Samjeské*, Hirosuke Matsui, Chaoqi Chen, Satoshi Muratsugu, Mizuki Tada*. Ultrafine Pt-Ni Nanoparticles in Hollow Porous Carbon Spheres for Remarkable Oxygen Reduction Reaction Catalysis. Dalton. Trans. 2021, 50, 6811-6822. (back cover)

2. Xian-Kai Wan,# Hao Bin Wu,# Bu Yuan Guan, Deyan Luan, and Xiong Wen (David) Lou*. Confining Subnanometer Pt Clusters in Hollow Mesoporous Carbon Spheres for Boosting Hydrogen Evolution Activity, Adv. Mater. 2020, 32, e1901349.

3. Xian-Kai Wan, Jia-Qi Wang, Zi-Ang Nan and Quan-Ming Wang*. Ligand Effects in Catalysis by Atomically Precise Gold Nanoclusters, Sci. Adv. 2017, 3, e1701823. (ESI 高被引论文)

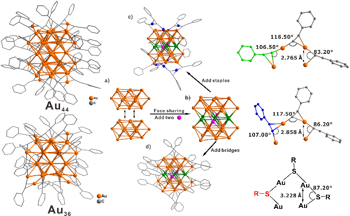
4. Xian-Kai Wan, Zong-Jie Guan, and Quan-Ming Wang*. Homoleptic Alkynyl-Protected Gold Nanoclusters: Au44(PhC≡C)28 and Au36(PhC≡C)24, Angew. Chem. Int. Ed. 2017, 56, 11494. (VIP文章)

5. Xian-Kai Wan, Xiao-Ling Cheng, Qing Tang, Ying-Zi Han, Guoxiang Hu,, De-En Jiang*, and Quan-Ming Wang*. Atomically Precise Bimetallic Au19Cu30 Nanocluster with an Icosidodecahedral Cu30 Shell and an Alkynyl–Cu Interface, J. Am. Chem. Soc. 2017, 139, 9451-9454.

6. Xian-Kai Wan, Wen-Wu Xu, Shang-Fu Yuan, Yi Gao*, Xiao-Cheng Zeng, and Quan-Ming Wang*. Near Infrared Emissive Alkynyl-Protected Au24 Nanocluster, Angew. Chem. Int. Ed. 2015 54, 9683-968

7. Xian-Kai Wan, Shang-Fu Yuan, Qing Tang, De-En Jiang*, and Quan-Ming Wang*. Alkynyl-Protected Au23 Nanocluster: A 12-Electron System, Angew. Chem. Int. Ed. 2015, 54, 5977-5980.

8. Xian-Kai Wan, Qing Tang, Shang-Fu Yuan, De-En Jiang*, and Quan-Ming Wang*. Au19 Nanocluster Featuring a V‑Shaped Alkynyl−Gold Motif, J. Am. Chem. Soc. 2015, 137, 652−655. (editor choice)

9. Xian-Kai Wan, Shang-Fu Yuan, Zhi-Wei Lin and Quan-Ming Wang*. Chiral Gold Nanocluster Au20 Protected by Tetradentate Phosphines, Angew. Chem. Int. Ed. 2014, 53, 5923-5926.

10. Xian-Kai Wan, Zhi-Wei Lin and Quan-Ming Wang*. Au20 Nanocluster Protected by Hemilabile Phosphines, J. Am. Chem. Soc. 2012, 134, 14750.

11. Shang-Fu Yuan, Heng-Wang Luyang, Zhen Lei, Xian-Kai Wan, Jiao-Jiao Li, Quan-Ming Wang* A stable well-defined copper hydride cluster consolidated with hemilabile phosphines. Chem. Commun. 2021, 57, 4315-4318.
12. Zhen Lei, Xian-Kai Wan, Shang-Fu Yuan, Zong-Jie Guan, Quan-Ming Wang*. Alkynyl Approach toward the Protection of Metal Nanoclusters, Acc. Chem. Res. 2018, 51, 2465.
13. Zhen Lei, Jiao-Jiao Li, Xian-Kai Wan, Wen-Han Zhang, Quan-Ming Wang*. Isolation and Total Structure Determination of an All Alkynyl‐Protected Gold Nanocluster Au144. Angew. Chem. Int. Ed. 2018, 57, 8639.
14. Shang-Fu Yuan, Pei Li, Qing Tang, Xian-Kai Wan, Zi-Ang Nan, De-En Jiang*, and Quan-Ming Wang*. Alkynyl-protected silver nanoclusters featuring an anticuboctahedral kernel. Nanoscale 2017, 9, 11405-11409.
15. Zhen Lei, Xian-Kai Wan, Shang-Fu Yuan, Jia-Qi Wang and Quan-MingWang*. Alkynyl-Protected Gold and Gold-Silver Nanoclusters, Dalton. Trans. 2017, 46, 3427.
16. Wang Yu, Xian-Kai Wan, Li-Ting Ren, Hai-Feng Su, Gang Li, Sami Malola, Shui-Chao Lin, Zi-Chao Tang, Hannu Häkkinen, Boon K Teo, Quan-Ming Wang*, Nan-Feng Zheng*. Atomically Precise Alkynyl-Protected Metal Nanoclusters as a Model Catalyst: Observation of Promoting Effect of Surface Ligands on Catalysis by Metal Nanoparticles, J. Am. Chem. Soc. 2016, 138, 3278-3281.
17. Zong-Jie Guan, Jiu-Lian Zeng, Zi-Ang Nan, Xian-Kai Wan, Yu-Mei Lin*, Quan-Ming Wang*. Thiacalix[4]arene: New protection for metal nanoclusters, Sci. Adv. 2016, 2, e1600323.
18. Zhen Lei, Zong-Jie Guan, Xiao-Li Pei, Shang-Fu Yuan, Xian-Kai Wan, Jin-Yuan Zhang, Quan-Ming Wang*. An Atomically Precise Au10Ag2 Nanocluster with Red–Near-IR Dual Emissio, Chem. Eur. J. 2016, 22, 11156-11160.
19. Stefan Knoppe*, Qian-Fan Zhang, Xian-Kai Wan, Quan-Ming Wang, Lai-Sheng Wang, Thierry Verbiest. Second-Order Nonlinear Optical Scattering Properties of Phosphine-Protected Au20 Clusters, Ind. Eng. Chem. Res. 2016, 55, 10500-10506.
20. Xiao-Li Pei, Yang Yang, Zhen Lei, Shan-Shan Chang, Zong-Jie Guan, Xian-Kai Wan, Ting-Bin Wen, and Quan-Ming Wang*. Highly Active Gold(I)-Silver(I) Oxo Cluster Activating sp3 C-H Bonds of Methyl Ketones under Mild Conditions, J. Am. Chem. Soc. 2015, 137, 5520-5525.
21. Meng Zhou, Sa-Ran Long, Xian-kai Wan, Yang Li, Ying-li Niu, Qian-Jin Guo, Quan-Ming Wang*, An-Dong Xia*. Ultrafast relaxation dynamics of phosphine-protected, rod-shaped Au20 clusters: interplay between solvation and surface trapping, Phys. Chem. Chem. Phys. 2014, 16, 18288-18293.