简历:
学习及工作经历
2021.06— 至今 a漫
,特聘研究员,博士生导师
2018.10—2021.04 名古屋大学,JSPS特别研究员,合作导师:Mizuki Tada教授
2017.09—2018.09 南洋理工大学,博士后研究员,合作导师:楼雄文 教授
2011.09—2017.07 厦门大学化学化工学院,理学博士,导师:王泉明 教授
2007.09—2011.07 重庆大学化学化工学院,工学学士
主要研究方向
金属团簇化学
金属纳米团簇精准合成
金属纳米团簇发光与催化性质研究及应用
课题组诚招博士后、博士、硕士研究生、研究助理以及联合培养学生,欢迎对物理化学、团簇化学、无机化学、材料学、团簇催化、光学、电化学、晶体学等感兴趣的学生加入本课题组。
主要工作业绩
金属团簇化学、团簇催化应用与光学性质研究
主要从事币金属团簇精准合成、表征及其光学与催化性能的应用研究。包括创新合成方法构筑结构与性质新颖的币金属团簇,研究团簇稳定机制、建立明确构-效关系;强近红外光学特性币金属团簇设计合成与应用研究;币金属团簇催化应用:热催化转化(催化选择性加氢和偶联反应),电催化转化(电解水制氢、二氧化碳还原和氧还原等)。截至目前已发表学术论文20余篇,以第一或通讯作者在Sci. Adv.、Nat. Commun.、J. Am. Chem. Soc.、Angew. Chem. Int. Ed.、Adv. Mater.、ACS nano. 等杂志发表多篇论文,累积引用超过3000次,其中包括ESI高被引、VIP、Editor Choice,hot paper等。
主要奖励和荣誉
2023年 入选a漫
青年科技学术带头人培育项目
2022年 入选四川省天府峨眉计划青年项目
2021年 入选a漫
双百B人才项目
2019年 入选日本学术振兴会(JSPS)特别研究员项目
2017年 厦门大学优秀毕业生
代表性成果 (获奖成果、专著、论文、专利)
1. Nian-Ling Li, Jianyu Wei, Xiao-Yun Ran, Jing Li, Li Shen, Fawang Zhang, Qi Dai, Wei Wang, Kun Li, Xian-Kai Wan*. All-Alkynyl Protected Rod-Shaped Au9(AgCu)126 Nanocluster with Remarkable Photothermal Conversion, Angew. Chem. Int. Ed. 2025, 64, e202503036.

2. Xian-Kai Wan*, Ting-Ting Liu, Nian-Ling Li, Qi Dai, Jianyu Wei*, Quan-Ming Wang*. Tailoring Atomically Precise Gold Nanoclusters for Boosting Selective Hydrogenation of Nitrostyrene with H2, ACS Nano, 2025, DOI: 10.1021/acsnano.5c00596

3. Xian-Kai Wan, Xu-Shuang Han, Zong-Jie Guan, Wan-Qi Shi, Jiao-Jiao Li, and Quan-Ming Wang*. Interplay of kernel shape and surface structure for NIR luminescence in atomically precise gold nanorods, Nat. Commun. 2024, 15, 7214.

4. Xian-Kai Wan, Jia-Qi Wang, and Quan-Ming Wang*. Ligand-Protected Au55 with a Novel Structure and Remarkable CO2 Electroreduction Performance, Angew. Chem. Int. Ed. 2021, 60, 20748.

5. Xian-Kai Wan, Gabor Samjeské*, Hirosuke Matsui, Chaoqi Chen, Satoshi Muratsugu, Mizuki Tada*. Ultrafine Pt-Ni Nanoparticles in Hollow Porous Carbon Spheres for Remarkable Oxygen Reduction Reaction Catalysis. Dalton. Trans. 2021, 50, 6811-6822.

6. Xian-Kai Wan,# Hao Bin Wu,# Bu Yuan Guan, Deyan Luan, and Xiong Wen (David) Lou*. Confining Subnanometer Pt Clusters in Hollow Mesoporous Carbon Spheres for Boosting Hydrogen Evolution Activity, Adv. Mater. 2020, 32, e1901349. (ESI 高被引论文)

7. Xian-Kai Wan, Jia-Qi Wang, Zi-Ang Nan and Quan-Ming Wang*. Ligand Effects in Catalysis by Atomically Precise Gold Nanoclusters, Sci. Adv. 2017, 3, e1701823. (ESI 高被引论文)

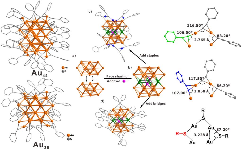
8. Xian-Kai Wan, Zong-Jie Guan, and Quan-Ming Wang*. Homoleptic Alkynyl-Protected Gold Nanoclusters: Au44(PhC≡C)28 and Au36(PhC≡C)24, Angew. Chem. Int. Ed. 2017, 56, 11494.

9. Xian-Kai Wan, Xiao-Ling Cheng, Qing Tang, Ying-Zi Han, Guoxiang Hu,, De-En Jiang*, and Quan-Ming Wang*. Atomically Precise Bimetallic Au19Cu30 Nanocluster with an Icosidodecahedral Cu30 Shell and an Alkynyl–Cu Interface, J. Am. Chem. Soc. 2017, 139, 9451-9454.

10. Xian-Kai Wan, Wen-Wu Xu, Shang-Fu Yuan, Yi Gao*, Xiao-Cheng Zeng, and Quan-Ming Wang*. Near Infrared Emissive Alkynyl-Protected Au24 Nanocluster, Angew. Chem. Int. Ed. 2015 54, 9683-9686.
11. Xian-Kai Wan, Shang-Fu Yuan, Qing Tang, De-En Jiang*, and Quan-Ming Wang*. Alkynyl-Protected Au23 Nanocluster: A 12-Electron System, Angew. Chem. Int. Ed. 2015, 54, 5977-5980.
12. Xian-Kai Wan, Qing Tang, Shang-Fu Yuan, De-En Jiang*, and Quan-Ming Wang*. Au19 Nanocluster Featuring a V‑Shaped Alkynyl−Gold Motif, J. Am. Chem. Soc. 2015, 137, 652−655.
13. Xian-Kai Wan, Shang-Fu Yuan, Zhi-Wei Lin and Quan-Ming Wang*. Chiral Gold Nanocluster Au20 Protected by Tetradentate Phosphines, Angew. Chem. Int. Ed. 2014, 53, 5923-5926.
14. Xian-Kai Wan, Zhi-Wei Lin and Quan-Ming Wang*. Au20 Nanocluster Protected by Hemilabile Phosphines, J. Am. Chem. Soc. 2012, 134, 14750.
15. Zhen Lei, Xian-Kai Wan, Shang-Fu Yuan, Zong-Jie Guan, Quan-Ming Wang*. Alkynyl Approach toward the Protection of Metal Nanoclusters, Acc. Chem. Res. 2018, 51, 2465.
16. Zhen Lei, Jiao-Jiao Li, Xian-Kai Wan, Wen-Han Zhang, Quan-Ming Wang*. Isolation and Total Structure Determination of an All Alkynyl‐Protected Gold Nanocluster Au144. Angew. Chem. Int. Ed. 2018, 57, 8639.
17. Wang Yu, Xian-Kai Wan, Li-Ting Ren, Hai-Feng Su, Gang Li, Sami Malola, Shui-Chao Lin, Zi-Chao Tang, Hannu Häkkinen, Boon K Teo, Quan-Ming Wang*, Nan-Feng Zheng*. Atomically Precise Alkynyl-Protected Metal Nanoclusters as a Model Catalyst: Observation of Promoting Effect of Surface Ligands on Catalysis by Metal Nanoparticles, J. Am. Chem. Soc. 2016, 138, 3278-3281.